尊龙官方网站官网入口_人生就是搏中国官网z6mg
网站公告: 诚信为本:市场永远在变,诚信永远不变。
地址: 广东省广州市天河区88号
电话:400-123-4567
手机:13800000000
邮箱:admin@youweb.com

服装展示

PRODUCT SHOW
当前位置: 首页 > 服装展示

Title
热电偶原理——塞贝克效应和塞贝克系数

POSTTIME:2025-08-04     作者:小编     点击量:

  热电偶通常是当今最常用的温度传感器之一。热电偶由两端焊接在一起的两个不同导体组成。这些无处不在的设备使用

  1822年,德国物理学家托马斯·塞贝克注意到,当环上存在温度梯度时,由两块半圆形铋和铜连接而成的环可以偏转附近的指南针(图1)。

  塞贝克的朋友汉斯·克里斯蒂安·奥斯特于1820年发表了他对电和磁之间联系的发现,他建议针应该是由流过回路的电流产生的磁场移动的。这是首次发现热电效应。当时,要为观察到的物理现象制定一个解释理论并不容易,因为即使是电压、电流和电阻等基本概念也没有明确表述。事实上,直到1897年发现电子,人们才很好地理解了这种现象的机制。

  同样值得一提的是,动物电的发现者路易吉·伽伐尼进行的实验也与塞贝克效应有关。1786年,伽伐尼观察到,被解剖的青蛙的肌肉在被不同的金属探针接触时会收缩。

  由于科学史上许多伟大思想家的努力,我们对塞贝克效应等物理现象有了更好的理解。详细讨论热电效应背后的理论超出了本文的范围;然而,一个简化的直观解释仍然可以为我们提供对这种效应的基本理解。

  今天,我们知道电场或热能可以将一些电子从导体的价带释放到导带。虽然价电子与原子结合得太紧,无法对电流做出贡献,但导带中的电子有足够的能量在材料中自由移动。当金属棒两端存在温差时,热区会产生更多的自由电子。热端的电子也比导体冷端的电子受到更多的热搅动。这些热搅动的电子比低能电子扩散得更快。

  导线热端中较高浓度的热搅动电子导致电子从热端扩散到冷区。由于这种热诱导的电子扩散,与导体的另一端相比,热区带正电。图2显示了温差如何重新分配电子,并使它们从较热的区域移动到较冷的一端。

  你可能会想,这种电子的再分配会持续多久?产生的热电压试图产生与热感应电流方向相反的电流。随着越来越多的电子从较热的一端移动到较冷的一端,导线两端会产生越来越大的热电压。在某一时刻,该热电压变得足够大,以抵消温度引起的电子扩散。当达到这种平衡时,通过导体的净电流将为零。

  由沿导线的温度梯度产生的开路电压称为塞贝克电压,这种现象称为塞贝克效应。给定温差下产生的塞贝克电压取决于材料特性。

  其中ΔV表示沿材料施加小温差(ΔT)获得的电压差。请注意,按照惯例,ΔV被定义为冷侧电压减去热侧电压。在图2所示的示例中,V冷-V热为负,导致塞贝克系数为负。我们稍后将更详细地讨论塞贝克系数的符号。

  在方程式1中,假设ΔT较小。因此,我们还可以将塞贝克系数定义为产生的电压相对于温度的一阶导数:

  从方程1和2中获得的值称为绝对塞贝克系数,这意味着它们指定了单个材料的塞贝克效应。例如,铝在0°C下的绝对塞贝克系数为-1.5μV/K。材料的塞贝克系数也可以指定为相对于参考材料的相对值。例如,铝的塞贝克系数可能与铂有关,铂在0°C时的绝对值为-5μV/K。在这种情况下,铝的相对塞贝克系数为:

  材料的绝对塞贝克系数不能直接用万用表测量。这是由于电压表的引线(以及测量电路输入端的任何其他导电材料)会经历温度梯度并产生额外的塞贝克电压。以这种方式测量的电压将取决于被测材料以及测量电路中使用的材料的塞贝克效应。绝对塞贝克系数可以通过应用塞贝克系数的开尔文关系来确定。然而,通过测量热电偶电路的输出,可以很容易地确定相对值。

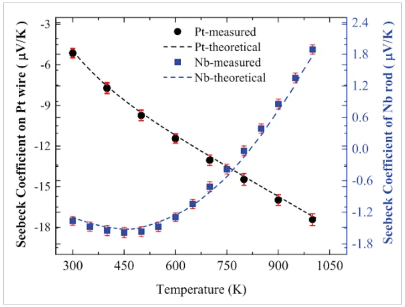
  塞贝克系数是温度的函数。图4显示了铂(Pt)和铌(Nb)的绝对塞贝克系数如何随温度变化。

  应当注意,在亚微米级的最小尺寸以上,塞贝克系数与材料的几何形状、横截面积和长度无关。

  如上所述,热电效应背后的理论相当复杂。对于某些金属,如铜,电子从导线的冷端移动到热端,导致塞贝克系数为正。

  从图3中,我们观察到铜的塞贝克系数在0°C时约为+1.5μV/K。塞贝克系数的大小和符号与费米能级周围电子分布的不对称性有关。

  要了解更多关于影响塞贝克系数符号的材料参数,请参阅Safa Kasap的“金属中的热电效应:热电偶”。此外,请注意,塞贝克效应也在半导体中观察到。事实上,半导体的塞贝克系数比金属大得多。P型半导体具有正塞贝克系数,而n型半导体具有负塞贝克系数。

返回列表
地址:广东省广州市天河区88号    电话:400-123-4567    手机:13800000000
版权所有:
ICP备案编号:琼ICP备xxxxxxxx号
尊龙官方网站官网入口_人生就是搏中国官网z6mg